我国第四大粮食作物 高粱的概述 高粱是一种重要的粮食作物,也是我国第四大粮食作物,主要分布在我国南方地区。高粱属于禾本科,是一种耐旱、耐寒、抗病虫害的作物,可以在较为恶劣的环境中生长和发展。高粱的籽粒呈长圆形,颜色鲜艳... 百科知识 2024-05-11 75
德国牧羊犬吃什么 德国牧羊犬是一种非常聪明、忠诚和勇敢的犬种,它们以其出色的警戒能力和工作能力而闻名于世。如果你有德国牧羊犬,你需要给它提供良好的饮食,以确保它的健康和幸福。本文将介绍德国牧羊犬的饮食需求和它们可以吃的... 百科知识 2024-05-11 71
我怕我没有机会跟你说再见是什么歌 我怕我没有机会跟你说再见,这是一首让人既感伤又温暖的歌曲。每当听到这首歌,我总是会想起那些曾经在我生命中出现过,但却已经不再与我相伴的人们。这首歌曲让我想起了那些曾经陪伴过我的人,让我想起了他们的笑容... 百科知识 2024-05-11 81
1一15岁身高体重对照表2021 什么是身高体重对照表? 身高体重对照表是一种用于评估儿童生长发育的工具,它可以根据儿童的年龄、性别、身高和体重等指标,来判断儿童是否处于正常生长发育状态。身高体重对照表的制定是基于大量的儿童生长发育... 百科知识 2024-05-11 75
精产国品一二三产品区别在哪里 作为一个注重效率、追求精益生产的现代国家,精产国品一二三产品的区别是显而易见的。品一、品二、品三是指在生产过程中的不同阶段所生产的产品,品一是原材料、品二是半成品、品三是成品。这些产品在质量、价格、用... 百科知识 2024-05-11 80
气功大师王林解密 作为中国传统文化中的一种重要流派,气功在中国已经有着悠久的历史和深厚的文化底蕴。而在当代,气功大师王林也成为了备受关注的人物。他的气功技艺精湛,被誉为“气功大师中的巨匠”,并且在很多人的心目中,他更是... 百科知识 2024-05-11 81
水千丞的作品全集 水千丞是中国大陆知名的 *** 小说作家,他的作品涵盖了多种题材,包括玄幻、都市、历史等等。他的作品以情节紧凑、人物形象生动、文笔流畅著称,深受广大读者的喜爱。本文将为大家介绍水千丞的作品全集,并从多个方面... 百科知识 2024-05-11 79
打科兴疫苗赔偿多少钱 新冠疫苗的接种已经成为全球范围内的一项重要任务,而科兴疫苗也是其中的一种。随着疫苗接种的推进,也出现了一些意外事件,使得人们开始关注打科兴疫苗赔偿多少钱的问题。本文将从多个方面对这一问题进行详细阐述。... 百科知识 2024-05-11 81
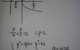
抛物线的准线方程 抛物线是一种非常常见的数学曲线,它具有许多特殊的性质和应用。在物理学、工程学、建筑学、计算机科学等领域中,抛物线都有着广泛的应用。而抛物线的准线方程则是抛物线研究中非常重要的一部分,它可以用来描述抛物... 百科知识 2024-05-11 81
我能想到最浪漫的事就是和你一起慢慢变老 在这个快节奏的时代,人们似乎总是在追逐着什么,忙碌着奔波着,而忘记了生命中最重要的事情。那就是,和那个更爱的人一起慢慢变老。 想象一下,当我们年轻的时候,我们总是在追求 *** 和 *** 。我们喜欢快速地奔跑... 百科知识 2024-05-11 77